Niveau : BTS 1ère année | Durée estimée : 2h
OBJECTIFS PÉDAGOGIQUES
- Comprendre la différence entre population et échantillon
- Savoir calculer un intervalle de fluctuation
- Utiliser Excel pour simuler des tirages aléatoires
- Interpréter des résultats statistiques simples
I. DÉFINITIONS ESSENTIELLES
Population vs Échantillon
| Terme | Définition | Exemple concret |
|---|---|---|
| Population | Ensemble complet des individus étudiés | Tous les clients d’une entreprise (N=10 000) |
| Échantillon | Sous-ensemble représentatif prélevé | 100 clients sélectionnés au hasard (n=100) |
| Paramètre | Caractéristique de la population (inconnue) | Taux de satisfaction réel : p = 65% |
| Statistique | Caractéristique de l’échantillon (observée) | Taux observé sur l’échantillon : f = 62% |
Pourquoi échantillonner ?
- Moins coûteux que d’étudier toute la population
- Plus rapide à mettre en œuvre
- Nécessaire quand le contrôle est destructif (ex : test de résistance)
- Suffisant pour prendre des décisions fiables
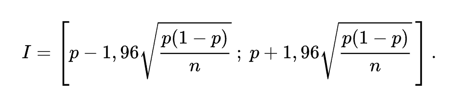
II. INTERVALLE DE FLUCTUATION (95% de confiance)
Formule simplifiée
Pour un échantillon de taille n et une proportion théorique p :

💡 Condition d’utilisation : n ≥ 30, p entre 0,2 et 0,8, np ≥ 5 et n(1-p) ≥ 5
Interprétation
- Si la fréquence observée f appartient à l’intervalle → l’échantillon est compatible avec la population
- Si f est en dehors → on peut douter de l’hypothèse de départ (au seuil de 5%)
Exemple guidé
Une entreprise affirme que 70% de ses clients sont satisfaits.
On interroge un échantillon de n = 100 clients → on observe f = 63%Calcul :
- p = 0,70 ; n = 100
- Écart-type : √[0,7×0,3/100] = √0,0021 ≈ 0,0458
- Marge : 1,96 × 0,0458 ≈ 0,09
- Intervalle : [0,70 – 0,09 ; 0,70 + 0,09] = [0,61 ; 0,79]
Conclusion : f = 0,63 ∈ [0,61 ; 0,79] → L’affirmation de l’entreprise est plausible.
Etapes pratiques du TP
Une usine produit des pièces dont 15% sont défectueuses en théorie.
Vous devez vérifier, par simulation, si un échantillon de 50 pièces peut donner des résultats très éloignés de 15%.
ÉTAPE 1 : PRÉPARER LA FEUILLE
- Ouvrir un nouveau classeur Excel
- Renommer la feuille : « Simulation »
- Créer l’en-tête suivant :
| A | B | C | D |
|---|---|---|---|
| N° tirage | Pièce (0=OK, 1=défectueuse) | Cumul défectueuses | Fréquence observée |
| 1 |
ÉTAPE 2 : GÉNÉRER UN ÉCHANTILLON ALÉATOIRE
Dans la cellule B2, saisir la formule :
=SI(ALEA()<0,15;1;0)
✅ Cette formule simule une pièce : 15% de chance d’être défectueuse (valeur 1)
Recopier vers le bas jusqu’à la ligne 51 (pour avoir 50 pièces)
ÉTAPE 3 : CALCULER LES INDICATEURS
| Cellule | Formule | Explication |
|---|---|---|
| C2 | =SOMME($B$2:B2) | Cumul des pièces défectueuses |
| D2 | =C2/A2 | Fréquence cumulée à chaque tirage |
| (Recopier C2:D2 jusqu’à la ligne 51) |
📌 En bas de tableau (ligne 53) :
- Fréquence finale (cellule D53) :
=MOYENNE(B2:B51) - Intervalle théorique 95% :
- Borne inf (E53) :
=0,15-1,96*RACINE(0,15*0,85/50) - Borne sup (F53) :
=0,15+1,96*RACINE(0,15*0,85/50)
ÉTAPE 4 : SIMULER PLUSIEURS ÉCHANTILLONS
- Appuyer sur F9 pour régénérer les nombres aléatoires
- Observer comment la fréquence finale varie
- Noter 10 résultats dans un tableau récapitulatif :
| Simulation | Fréquence observée | Dans l’intervalle ? |
|---|---|---|
| 1 | Ecrire à la main la valeur en D53 | Modifier ici par la case correspondante, a la place de D 53 =SI(ET(D53>=E53;D53<=F53);’OUI’;’NON’) |
| … | … | … |
💡 Astuce : Copier-coller les valeurs (Collage spécial → Valeurs) pour figer les résultats
ÉTAPE 5 : REPRÉSENTATION GRAPHIQUE (Bonus)
- Sélectionner les colonnes A et D (tirages 1 à 50)
- Insertion → Graphique → Nuage de points avec lignes
- Ajouter une ligne horizontale à p = 0,15 (clic droit sur le graphique → Sélectionner les données → Ajouter une série)
Objectif visuel : Voir la fréquence se stabiliser autour de 15% quand n augmente (loi des grands nombres)
QUESTIONS DE SYNTHÈSE (à rédiger)
- Sur vos 10 simulations, combien de fréquences observées étaient dans l’intervalle de fluctuation ?
- La proportion théorique (15%) est-elle systématiquement « retrouvée » sur un petit échantillon ? Commentez.
- Que se passe-t-il si on augmente la taille de l’échantillon à n = 200 ? (Modifier la formule et tester)
- Réflexion métier : Pourquoi un responsable qualité ne contrôle-t-il pas 100% de la production ?
ANNEXE : FORMULES EXCEL UTILES
| Besoin | Formule Excel |
|---|---|
| Nombre aléatoire entre 0 et 1 | =ALEA() |
| Tirage binomial (0 ou 1) | =SI(ALEA()<p;1;0) |
| Moyenne d’une plage | =MOYENNE(plage) |
| Écart-type d’un échantillon | =ECARTYPE.S(plage) |
| Racine carrée | =RACINE(nombre) |
| Test d’appartenance à un intervalle | =SI(ET(x>=borne_inf;x<=borne_sup);"OUI";"NON") |
Questionnaire : L’Échantillonnage
Basé sur votre TP
Partie 1 : Vocabulaire (5 min)
1. Relie chaque terme à sa définition :
| Terme | Définition |
|---|---|
| Population | a. Caractéristique observée sur l’échantillon (ex: f = 62%) |
| Échantillon | b. Ensemble complet des individus étudiés |
| Paramètre p | c. Sous-ensemble prélevé au hasard (ex: n = 100) |
| Fréquence f | d. Caractéristique théorique de la population (ex: p = 70%) |
2. Cite 2 raisons pour lesquelles on utilise un échantillon plutôt que toute la population :
- ___________________________
- ___________________________
Partie 2 : Intervalle de fluctuation (7 min)
3. Complète la formule de l’intervalle de fluctuation à 95% :
I = [ p – × √( / n ) ; p + × √( / n ) ]
4. Coche les conditions nécessaires pour utiliser cette formule simplifiée :
- [ ] n ≥ 30
- [ ] p entre 0,2 et 0,8
- [ ] np ≥ 5 et n(1-p) ≥ 5
- [ ] L’échantillon doit être tiré avec remise
- [ ] La population doit être infinie
5. Application rapide (inspirée du TP) :
Une usine annonce 15% de pièces défectueuses (p = 0,15).
Sur un échantillon de n = 50, on observe f = 0,22.
a) Calcule rapidement la marge d’erreur (1,96 × √(p(1-p)/n)) :
(On te donne : √(0,15×0,85/50) ≈ 0,05)
→ Marge ≈ 1,96 × 0,05 ≈ _
b) En déduire l’intervalle de fluctuation :
→ I = [ 0,15 – _ ; 0,15 + ] = [ ; _ ]
c) La fréquence observée f = 0,22 appartient-elle à cet intervalle ? [OUI / NON]
d) Conclusion en 1 phrase :
L’échantillon remet-il en cause l’affirmation de l’usine ? Pourquoi ?
Partie 3 : Retour sur la pratique Excel (3 min)
6. Dans le TP, quelle formule Excel permettait de simuler une pièce défectueuse avec 15% de probabilité ?
=_______________________________________
7. Que fait la touche F9 dans Excel pendant la simulation ?
8. Vrai ou Faux ?
- Si on augmente la taille n de l’échantillon, la fréquence observée se stabilise autour de p. [V/F]
- Un seul échantillon suffit toujours à prendre une décision fiable à 100%. [V/F]